Đánh giá và phân tích đề thi THPT Quốc gia môn Toán năm 2024
Đề thi THPT Quốc gia môn Toán năm 2024 đã chính thức diễn ra vào chiều ngày 27/6/2024, thu hút sự quan tâm của đông đảo thí sinh, phụ huynh và giới chuyên môn. Bài viết này sẽ cung cấp cho bạn những đánh giá và phân tích chi tiết về cấu trúc, mức độ khó của đề thi.
Đề thi THPT Quốc gia môn Toán năm 2024
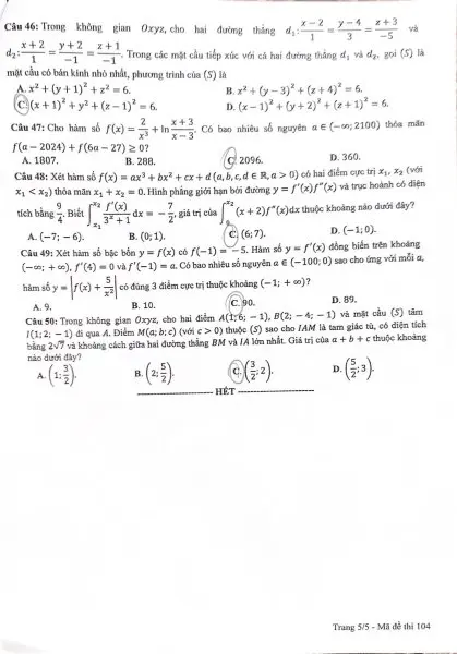
Mã đề 102

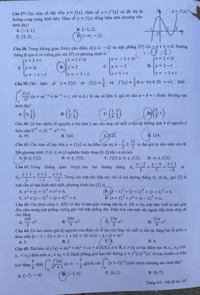
Mã đề 104

Mã đề 105

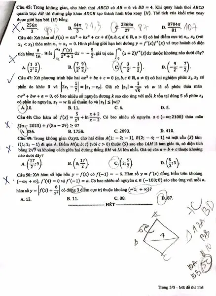
Mã đề 107




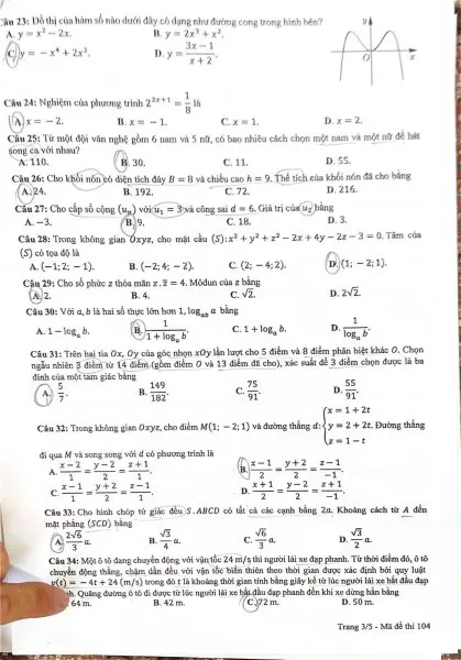
Mã đề 110




Mã đề 111




Mã đề 115



Mã đề 116



Mã đề 119




Mã đề 120


Mã đề 122

Mã đề 123


(Đang cập nhật…)
Đánh giá đề thi THPT Quốc gia môn Toán năm 2024
Đề thi THPT Quốc Gia 2024 môn Toán có cấu trúc tương tự như các năm trước, không có sự thay đổi đáng kể. Đề thi bao gồm 50 câu hỏi, trong đó 35 – 38 câu đầu tiên thường ở mức độ nhận biết và thông hiểu, thường được gọi là “phần dễ”.
Trong 12 – 15 câu còn lại, có khoảng 7 – 10 câu ở mức vận dụng và 5 câu ở mức vận dụng cao. Điều này đòi hỏi thí sinh cần phân phối thời gian làm bài hợp lý cho từng phần để đạt kết quả tốt nhất. Việc luyện tập bằng các đề thi thử sẽ giúp các em làm quen với cấu trúc đề thi, từ đó tự tin hơn khi làm bài thi chính thức.
Thí sinh cần lưu ý khi làm bài, nên nháp cẩn thận và khoanh vùng rõ ràng. Khi nháp xong một câu, hãy cách ra một chút rồi mới nháp câu tiếp theo để tránh nhầm lẫn kết quả. Đối với việc tô đáp án, nên làm xong câu nào thì tô luôn câu đó để tránh tình trạng cuối giờ bị cuống và tô nhầm đáp án.
Ngoài ra, cần chú ý để tránh các lỗi như làm ra đáp án A nhưng lại tô đáp án B do nhìn nhầm hoặc do vội vàng. Việc cẩn thận trong quá trình làm bài và tô đáp án sẽ giúp thí sinh giảm thiểu rủi ro và đạt kết quả cao hơn.
Phân tích đề thi THPT Quốc gia môn Toán năm 2024
Đề thi năm nay bám sát cấu trúc và dạng thức của đề thi Tốt nghiệp THPT những năm gần đây. Trong đó, 90% câu hỏi (tương đương 45 câu) thuộc chương trình của lớp 12 và 10% số câu hỏi (tương đương 5 câu) thuộc chương trình lớp 11.

Đề thi chính thức kỳ thi Tốt nghiệp THPT 2024 có cấu trúc tương đương với đề thi tham khảo 2024, nhưng độ khó có phần nhỉnh hơn so với đề thi năm 2023. Khoảng 45 câu hỏi trong đề (90%) là các dạng bài quen thuộc mà học sinh đã gặp và thực hành trong quá trình ôn luyện.
Trong số này, 38 câu đầu là các câu hỏi thuộc cấp độ nhận biết và thông hiểu, chỉ cần nắm vững nền tảng kiến thức là có thể dễ dàng giải quyết.
Đề thi cũng bao gồm 5 câu hỏi mang tính phân loại, nằm ở phần kiến thức lớp 12, thuộc các chủ đề: Số phức, hàm số, mũ – logarit, hình học Oxyz và nguyên hàm – tích phân (tương tự đề tham khảo 2024).
Các câu hỏi vận dụng phần lớn là các dạng bài quen thuộc đã từng xuất hiện trong các đề thi chính thức hoặc đề thi của các trường và các Sở GD&ĐT. Bên cạnh đó, đề thi có các câu hỏi vận dụng cao, cực khó dễ khiến thí sinh lúng túng trong việc tìm hướng giải, như các câu từ 46 đến 50 ở mã đề 110.
Thí sinh cần phải bình tĩnh, nhanh nhạy và có tư duy tốt để xác định hướng giải, đồng thời cần kết hợp nhiều kiến thức trong chuyên đề để có thể giải quyết các câu hỏi này.
Nhìn chung, đề thi môn Toán bám sát đúng yêu cầu mục tiêu, vừa lấy kết quả thi để xét tốt nghiệp THPT, vừa có sự phân hóa để phục vụ cho mục tiêu xét tuyển đại học. Đề thi được thiết kế với sự phân loại rõ ràng, trong đó phần lớn các câu hỏi dễ ở đầu giúp thí sinh tự tin hơn, trong khi các câu hỏi khó ở cuối nhằm phân loại và đánh giá năng lực thực sự của thí sinh. Dự kiến phổ điểm sẽ dao động ở mức 7 điểm, và số lượng điểm 10 sẽ rất ít.
Nhìn chung, đề thi THPT Quốc Gia môn Toán năm 2024 được đánh giá là vừa sức, bám sát chương trình học và có tính phân loại cao. Đề thi đã kiểm tra toàn diện kiến thức và kỹ năng của học sinh ở cả ba mức độ nhận biết, thông hiểu và vận dụng.